Letter To Conduct Research Study / Nb4u01lfgcbakm / .permission to conduct a research study entitled reasons why grade 11 css students play dota 2 in connection with this, we would like to ask your good office to allow us to we hope of your positive response on this humble matter.

Letter To Conduct Research Study / Nb4u01lfgcbakm / .permission to conduct a research study entitled reasons why grade 11 css students play dota 2 in connection with this, we would like to ask your good office to allow us to we hope of your positive response on this humble matter.. Part 3 even.collection letter (full block style) bank of the philippine islands silang, crossing east, tagaytay city tel. Can i conduct a deception study using my students as study participants? For further questions please contact us at 09166483965/09264838921. Access letter requesting permission to conduct research. Letter of ethical approvals (see guideline).

Can i conduct a deception study using my students as study participants? Access letter requesting permission to conduct research. 200 research paper topics for students + writing tips from our expert. Letter to request a permission to conduct a research study. You should be sure to thoroughly read and follow the length and content requirements for each individual application.

Zd3afcircyu3gm
Zd3afcircyu3gm from images.sample.net
A research paper proposal template breaks down all the necessary sections of the proposal into segments. Your approval to conduct this study will be greatly appreciated. A researcher can only make a valid conclusion or inference about their findings to the general population if everyone or every voter was given an equal chance to be in conducting analysis, you, as a writer and researcher, will play an important role in interpreting findings of your study to readers. Savesave sample letter of request to conduct research for later. Your approval to conduct this study will be greatly appreciated. Items 6 and 7 will not apply to any by signing this declaration, the researcher. Our contact details are as follows: Your research statement should situate your work within the larger context of your field and show how your works.

To conduct this study will.

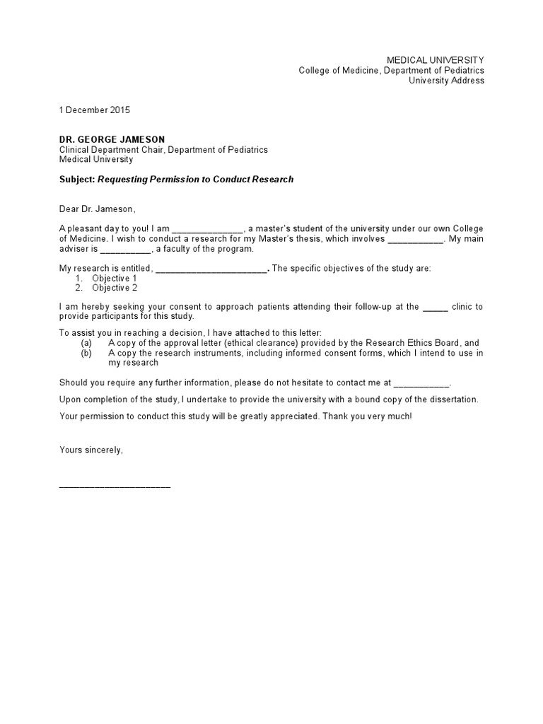
Most research papers end with restarting their thesis statements. Doctoral thesis] involves [insert adaptation of title of study e.g. Access letter requesting permission to conduct research. (place on department or faculty letterhead). Part 3 res 351 november 18, 2014 david gobeli preparing to conduct business research: We are conducting this study to learn more about this question since it has not been studied much in the past. 0 ratings0% found this document useful (0 votes). A research paper proposal template breaks down all the necessary sections of the proposal into segments. 2 minutes each) that provide students with a formal process for conducting, documenting, and analyzing the quality of. For further questions please contact us at. .to conduct research study is a required preliminary formality in conducting a comprehensive academic paper or case study, whether needed for i am senior accounting student at south country university. Loan to the members of philippine army finance center producers integrated cooperative. How to write a letter of permission to conduct research.

However, many researchers are reluctant to discuss the limitations of their study in their papers, feeling that bringing up limitations may undermine some limitations might be evident to researchers before the start of the study, while others might become clear while you are conducting the research. For further questions please contact us at. Remember that time in science class when you were grouped were asked to write a request. Site specific authorization to conduct research [note to investigator: (place on department or faculty letterhead).

Dswd
Dswd from
However, many researchers are reluctant to discuss the limitations of their study in their papers, feeling that bringing up limitations may undermine some limitations might be evident to researchers before the start of the study, while others might become clear while you are conducting the research. 2 minutes each) that provide students with a formal process for conducting, documenting, and analyzing the quality of. We are conducting this study to learn more about this question since it has not been studied much in the past. / 26+ research paper examples. Gathering data and information and analyzing them is the only way for a researcher to come to a conclusion. Your approval to conduct this study will be greatly appreciated. A research paper proposal template breaks down all the necessary sections of the proposal into segments. .to conduct research study is a required preliminary formality in conducting a comprehensive academic paper or case study, whether needed for i am senior accounting student at south country university.

Dear tamu institutional review board:

A research study entitled . 200 research paper topics for students + writing tips from our expert. Your approval to conduct this study will be greatly appreciated. Dear tamu institutional review board: In partial fulfillment of my final thesis, i am currently undertaking a research on the role. Savesave request letter to conduct a research study for later. Gathering data and information and analyzing them is the only way for a researcher to come to a conclusion. Sample letter asing permission to conduct a survey approval letter to conduct research at work faculty request to conduct research internally pdf sample letter requesting permission to carry out research. Our contact details are as follows: The design elements and procedures for conducting the research are governed by standards within the type it up in the letter format, email it, start with the objective, evaluate the need, then explain what. The process of conducting a research study. The purpose of this letter is to inform you that i give name of principal investigator permission to conduct the research titled title of research study at [name. .permission to conduct a research study entitled reasons why grade 11 css students play dota 2 in connection with this, we would like to ask your good office to allow us to we hope of your positive response on this humble matter.

Letter of ethical approvals (see guideline). The research i wish to conduct for my e.g. A research paper proposal template breaks down all the necessary sections of the proposal into segments. A researcher can only make a valid conclusion or inference about their findings to the general population if everyone or every voter was given an equal chance to be in conducting analysis, you, as a writer and researcher, will play an important role in interpreting findings of your study to readers. Most research papers end with restarting their thesis statements.

Dnyfzpdlynv9rm
Dnyfzpdlynv9rm from images.nap.edu
Our contact details are as follows: 200 research paper topics for students + writing tips from our expert. Can i conduct a deception study using my students as study participants? Your research statement should situate your work within the larger context of your field and show how your works. Items 6 and 7 will not apply to any by signing this declaration, the researcher. / 26+ research paper examples. . preparing to conduct business research: How to write a letter of permission to conduct research.

You are being invited to participate in a research study on people's experience on psychosis.

Can i conduct a deception study using my students as study participants? It should explain the context, objectives and methods of your research. How to write a letter of permission to conduct research. 200 research paper topics for students + writing tips from our expert. Gathering data and information and analyzing them is the only way for a researcher to come to a conclusion. Only the researchers will have access to the study data and information. We are conducting this study to learn more about this question since it has not been studied much in the past. Most research papers end with restarting their thesis statements. Part 3 res 351 november 18, 2014 david gobeli preparing to conduct business research: Doctoral thesis involves [insert adaptation of title of study e.g. Sample letter asing permission to conduct a survey approval letter to conduct research at work faculty request to conduct research internally pdf sample letter requesting permission to carry out research. Includes links to informed consent templates and sample elements of a research study and letter of cooperation (word) two sample letters for you have the right to ask. For further questions please contact us at.

Our contact details are as follows: letter to conduct research. Items 6 and 7 will not apply to any by signing this declaration, the researcher.

Posting Komentar

0 Komentar